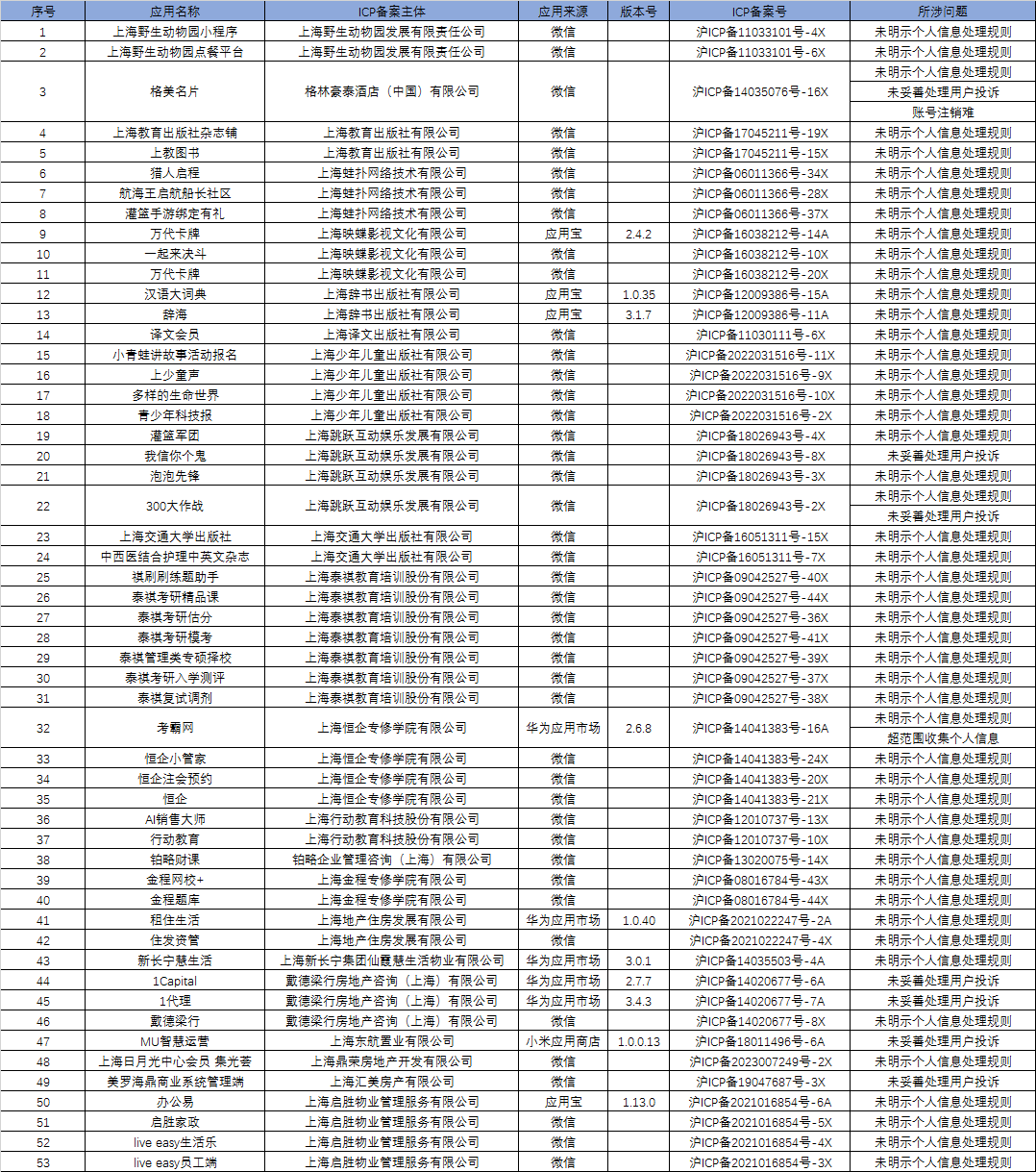
因侵害用户权益,戴德梁行等53个APP(SDK)被监管通报
上海市通信管理局高度重视用户权益保护工作,依据《个人信息保护法》《网络安全法》《电信条例》《电信和互联网用户个人信息保护规定》等法律法规,根据中央网信办、工业和信息化部、公安部、市场监管总局等四部门联合发布的《关于开展2025年个人信息保护系列专项行动的公告》要求,对APP(SDK)侵害用户权益的违规行为持续开展整治。近期,我局组织第三方检测机构对我市APP(SDK)进行抽查,共发现53款APP(SDK)存在侵害用户权益行为(详见附件),现予以通报。
上述APP(SDK)应对存在的问题立即整改,并对该APP(SDK)个人信息和用户权益保护工作开展全面自评估,自通报之日起5个工作日内将整改报告和自评估报告书面报送我局。对未能在限期内完成整改并提交报告的,我局将依法依规予以处理。
上海市通信管理局
2025年11月4日
(联系电话:021-63902000*382)
附件:
APP(SDK)检查发现的问题(2025年第九批)

责任编辑:张子川
新闻关键词: