-
济宁国企开启整合:惠达投资划入财政局,济宁国投获资产注入
11月4日,济宁市国有资产投资控股有限公司(简称“济宁国投”)发布公告称,其控股股东济宁市财政局拟将公司旗下济宁市惠达投资有限公司(简称“济宁惠达”)100%股权划出,改由济宁市财政局直接控股,同
泰山财经 | 2025-11-07 18:25 -
山东中医药大学与青岛国企共同成立医院公司
11月4日,山中大(青岛)中医医院有限公司(简称“青岛山中大中医院”)在青岛高新区注册成立,公司注册资本700万元,青岛高实置业有限公司持股55%,山东中医药大学资产经营有限公司(简称“山中大资产
泰山财经 | 2025-11-07 18:21 -
蚂蚁集团最新架构调整:设立健康事业群,医疗健康成战略新支柱
11月7日,蚂蚁集团CEO韩歆毅发布全员信,并宣布升级组织架构:原“数字医疗健康事业部”正式升级为“健康事业群”,并将加速推动医疗健康业务成为蚂蚁的战略支柱板块。
鲁网 | 2025-11-07 13:36 -
泡泡玛特直播事故,工作人员称盲盒卖79确实有点贵”,另一个人称“没事会有人买单的”
今天,泡泡玛特直播事故冲上微博热搜。
潇湘晨报 | 2025-11-07 11:20 -
阿尔特携四川资产投资芜湖,控股股东注册地青岛产业协同待突破
泰山财经记者 张润邦 11月3日,阿尔特汽车技术股份有限公司(以下简称“阿尔特”)公告宣布,与芜湖华安战新股权投资基金合伙企业
泰山财经 | 2025-11-07 10:49 -
千亿助贷巨头卷入校园贷风波,度小满对事件暂未正面回应
公开资料显示,度小满源于2015年12月百度整合金融业务成立的金融服务事业群,由百度高级副总裁朱光负责。2018年4月,百度金融拆分独立,启用“度小满”品牌,获TPG、凯雷等机构超19亿美元融资,
泰山财经 | 2025-11-07 10:46 -
济宁城发资本退出广东康波私募,年内两度发债募资9亿元
资料显示,广东康波私募成立于2021年4月,注册资本为500万元,注册地址位于广州市黄埔区,主要从事私募证券投资基金管理服务。 据深交所公告,济宁城发资本“2025年面向专业投资者非公开发行中小
泰山财经 | 2025-11-06 17:28 -
哈士奇美妆冰箱抽检不合格,涉及能效等级、储藏温度及耗电量
检查结果显示,利群集团城阳购物广场有限公司销售的由广东哈士奇制冷科技股份有限公司(下称“哈士奇”)所生产的BC-46COC型号不合格,不合格项目包括能效等级、储藏温度、耗电量。公司经营范围为冰箱、家用
泰山财经 | 2025-11-06 17:27 -
潍坊国资上市公司拟收购天一化学,后者连续多年位列滨海纳税20强
潍坊城投直接持有亚星化学28 92%股份,潍坊国资委通过潍坊亚星集团持有亚星化学6 15%股权。 事实上,亚星化学曾两度尝试跨界转型,2020年筹划收购科源制药、宏济堂医药资产,2021年拟收购景芝
泰山财经 | 2025-11-06 17:25 -
助力海外品牌扎根中国、海外游客读懂中国,小红书亮相进博会中国馆
今年年初,大量海外用户涌入小红书社区,大家互相晒宠物、评穿搭、分享美食,海外网友在笔记中惊呼,看到了一个与“国外宣传的形象”完全不一样、丰富多彩的中国。两个月后,布雷肯带家人一起到中国旅行,见到了
鲁网 | 2025-11-06 16:12 -
海底捞全国多地门店密集停业,中报曾显示加盟店数量猛增
10月22日,海底捞北京华贸天地店停业。11月初,海底捞北京常营华联店、汕头群光店、徐州火车站店停业。 ▲消费者拍摄的北京常营华联店闭店后情况据了解,上述门店停业后,有部分门店选址新开,也有部分门店
山东财经报道 | 2025-11-06 11:27 -
株洲公交发展去年亏超三千万,青岛公交集团拟退出止损
净资产账面价值170 61万元,评估价值207 23万元,此次转让股权对应评估值48 67万元。 青岛城运控股是由交运集团有限公司和青岛公交集团两家市属交通骨干企业整合重组,于2020年11月挂牌成
泰山财经 | 2025-11-06 10:38 -
达美乐否认收购传闻,贝恩资本回复泰山财经:无法对收购评论
2004年,达美乐在纽约证券交易所上市,代码为DPZ。台湾达美乐股权则在2021年由晶华国际酒店股份有限公司卖予澳洲达美乐。达美乐比萨(中国)方面此前曾向泰山财经表示,该店开业首日、首周、首月都打破了
泰山财经 | 2025-11-06 10:37 -
毕博获批担任招商仁和人寿河南分公司总经理
招商仁和人寿河南分公司原总经理为刘云,亦为该分公司首任总经理。2020年10月30日,原河南银保监局曾核准刘云担任招商仁和人寿省级分公司总经理职务。 2025年前三季度,招商仁和人寿实现保险业务
泰山财经 | 2025-11-06 10:35 -
杨福安卸任福牌阿胶法定代表人,谋求上市多年未果
泰山财经记者获悉,近日,山东福牌阿胶股份有限公司(简称“福牌阿胶”)发生工商变更,法定代表人由杨福安变更为赵景祥。同时,杨福安职务由董事长兼总经理调整为董事长,赵景祥新增担任公司经理一职。
泰山财经 | 2025-11-05 18:38 -
济南多家国企相继退出比亚迪半导体,转让价格合计12亿
继上月济南高新财金投资有限公司(下称“济南高新财金”)7 46亿挂牌转让济南比亚迪半导体有限公司(下称“比亚迪济南半导体”)股权后,11月5日,济南产业发展投资集团有限公司(下称“济南产发集团”)也以
泰山财经 | 2025-11-05 18:35 -
中原银行持续人事调整,子公司迎来新董事长
继中原银行(01216 HK)原行长刘凯辞任,周锋接任行长后,近日,该行旗下邦银金融租赁股份有限公司(下称“邦银金租”)换帅事宜也有了进展,张轩获批担任邦银金租董事长。
泰山财经 | 2025-11-05 18:32 -
济南国资拟投资“杭州六小龙”强脑科技,加码脑机接口产业布局
据山东省投资项目在线审批监管平台披露,济南财医国融协同生命科技合伙企业(有限合伙)(下称“济南财医”)于10月16日申报了认购开曼群岛公司强脑科技集团(下称“强脑科技”)股权项目。值得注意的是,近半年
泰山财经 | 2025-11-05 10:15 -
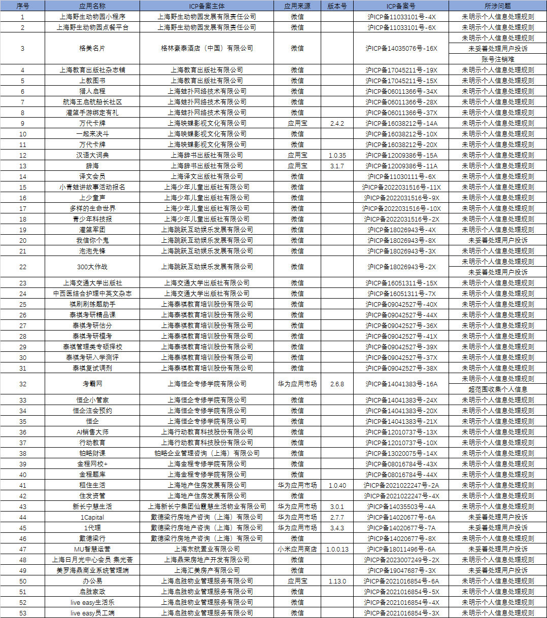
因侵害用户权益,戴德梁行等53个APP(SDK)被监管通报
上海市通信管理局高度重视用户权益保护工作,依据《个人信息保护法》《网络安全法》《电信条例》《电信和互联网用户个人信息保护规定》
泰山财经 | 2025-11-05 10:11 -
东郊到家青岛再投资,靠上门推拿起家计划冲击IPO
泰山财经记者曹鑫鑫 近日,泰山财经获悉,重庆聚米网络科技有限公司(简称“重庆聚米”)旗下公司青岛东郊到家健康管理有限公司(简
泰山财经 | 2025-11-05 10:07

















